岭南师说 | 王曦:制度演进与中国经济学构建
制度演进与中国经济学构建
文/王曦
借全国上下反思中国人文社会科学学术研究道路与学科建设之机,结合本人多年经济研究之体会,探讨中国经济学构建的方向与实现路径问题。笔者论证,主流经济学的精髓在于对科学研究范式的追求,中国经济学的构建应在充分吸收继承主流经济学的基础上,深入考察刻画制度演进的作用。文章最后提出理论化制度演进的若干渐进性研究思路。
一、经济学的特异性:对科学研究范式的追求及其影响
西语中的“经济学”一词源于古希腊的οἰκονομία,本意为家政学,即如何勤俭持家。中文“经济学”一词最早见于隋朝王通《文中子》:“皆有经济之道,谓经国济民”。总体上,经济学探究经济主体(居民、厂商、政府等)的行为(消费、生产)以及之间的相互作用(交易、竞争),还有这些活动构成的整体经济系统的运行与调控问题。经济研究的最终目的,在微观上是实现稀缺资源的最优配置,宏观上则为经邦济世,强国富民。
由于研究对象是社会经济运作以及其中的主体行为,经济学本质上仍属于社会科学范畴。很多人认为,由于人类及其团体(社会)的相互作用机制过于复杂,因而自然科学“假说→检验”式的研究范式并不适用于社会科学研究,因此该领域研究应主要基于社会调查与定性反思。但经济学人始终认为,学科的终极目标是解决社会经济问题,因而采取科学化的研究路线就成为必然。主流经济学最终吸纳并拓展了自然科学的研究范式,这使得经济学迥异于其他社会科学学科。然而经济学毕竟无法避免社会科学的复杂性问题,因而在经济学科学化的发展史中,源于本身与其他学科的争议与讽刺一直相伴。但面对群嘲,经济学者一直锲而不舍,知难而进,不断将经济学推进完善。
经济学历经古典经济学、马克思主义政治经济学、凯恩斯主义与新古典/新凯恩斯主义经济学,自身不断发展。至今,主流经济学已经逐渐形成了“背景→假设→微观行为基础→主体相互作用→经济运行与调控”的规范(normative)框架路线,以及“假说→推理→检验→假说修正→再检验”的实证(positive)研究范式,并发展出与此相配的一整套行为与系统刻画、实证评估与政策评价的理论模型与实证工具箱。
经济基础决定上层建筑,大量社会问题的根源都是经济,经济学可谓是社会科学的基础学科。虽然争议不断,经济学一直在不断完善自我,尝试对社会经济问题提出针对性的解决方案。19世纪以来,全世界经济持续高速增长,与封建时期形成了鲜明对比。这创造了人类历史上的增长奇迹,其中经济学的贡献功不可没。如今,经济学科学化的研究范式已经被广为认同,持续地并坚强渗透至其他社会科学领域,甚至被谓之以“经济学帝国主义”。这或许反映了其他社会科学学科的无奈与嘲弄,但更体现了对经济学科学化研究范式的充分肯定。
可见,经济学始终追求学科研究范式的科学属性。同时,真正的经济学者同时也完全认同经济学的社会科学属性,认为随着社会的变迁,经济学也应该与时俱进。在这个意义上,经济学永远处于青年时期。相对理工科,经济学更有温度,知晓尊重人性、以人为本;相对人文学科,经济学更有智慧,知道自身的目标、困难与实现路径。
二、中国经济学构建的核心问题:制度演进的纳入
当前,建立中国(特色)经济学的呼声日益高涨,然而就如何构建中国经济学的问题,却仍是雾里看花,不明所以。如前文所述,主流经济学历经百年发展,已经形成一整套的科学研究范式,并且在实践中得到了充分的印证与肯定。这也是人类文明的结晶,全盘否定是不负责任的。笔者以为,在继承与吸收主流经济学的基础之上,通过否定之否定,以找寻中国经济学的构建方向与实现路径,才是正确的出路。就此,必须首先重新审视当代主流经济学的分析范式。
笔者归纳总结了主流经济学的基本分析架构,如图1所示:1、经济中存在多种经济主体(消费者、厂商、政府部门等),对其的一般化公设是:(1)理性假说:主体追求利益最大化;(2)能动性假说:主体之间是交互博弈的;(3)前瞻性假说:主体对未来不确定性进行判断(预期);2、经济主体依据上述公设进行决策,形成主体行为方程;3、给定各行为方程,通过市场出清机制,产生特定经济结果;4、当市场出清的客观结果刚好等于主体的先验主观判断之时,这一闭环的过程就形成一般均衡;5、整个“决策→行为→均衡”事后(ex post)表现被称为一个经济结构;6、特定经济结构产生特定的社会福利,在外部随机以及政策冲击下,管控者通过选择并实施政策而追求福利的提升。总体上,该架构的基本特征可以概况为三点:对微观行为基础的刻画、一般均衡框架的应用,以及对政策功能性的强调。
很显然,该架构本身在逻辑上是自洽的;同时其功能性的特征也满足治国经邦的目的。但必须看到,该架构也并不完善。其核心不足在于:忽略了对制度演进的考虑。制度泛指以规则或运作模式,规范个体行动的一种社会结构;这些规则蕴含着社会的价值,其运行表彰着一个社会的秩序。也就是说,制度告诉我们“可以做什么,怎么去做,可以得到什么结果”。这也意味着,制度本质上是图1经济架构背后的更深层次的背景与规则。制度的变化将对图1中的每一个元素均产生无法忽视的重要影响:制度影响着经济主体的决策及其行为方程,制度改变着市场出清及其一般均衡结果,制度也规定了政策边界并影响政策的实施效果。
制度演进将导致经济结构的变迁,这似乎与主流经济学的自洽性有所背离,但事实并非如此。在西方几百年的资本主义发展史中,虽然时有细微的调整,但以私有制与市场化为基本内核的资本主义制度一直在整体上维持稳定。在这种情形下,图1分析架构可以基本忽略制度演进因素,这符合科学研究中合理简化的逻辑,也符合哲学中对主要矛盾的强调。同时图1本身的自洽性与功能性,刚好提供了国家经济治理所需的架构、理论与方法。这也正是主流经济学盛行于西方,并且至今仍然具有蓬勃生命力的根本原因。
但西方制度稳定的隐含假定明显并不适用于中国现实。新中国脱胎于半殖民半封建社会,确立了社会主义的基本政治制度形式。然而社会主义只是科学社会主义与马克思主义学说的一个基本推论与设想。对于具体如何建设社会主义,尤其是在旧中国这样一个特定的落后农业国中如何发展经济,则完全没有现成的答案。因此,新中国成立伊始便开始了探索建设具有中国特色社会主义制度的艰难历程。过程中,伴随着无数制度改革的新尝试、再修正与再完善,也伴随着诸多失败与成功,中国最终实现了从高度集中的计划经济体制到充满活力的社会主义市场经济体制、从封闭半封闭到全方位开放的转变。伴随着改革开放,中国实现了从生产力相对落后到经济总量跃居世界第二的历史性突破,实现了人民生活从温饱不足到总体小康、奔向全面小康的历史性跨越。由此可见,在中国特色社会主义制度的探索中,在改革开放的进程中,如何探索寻求更适应于中国的国家治理制度,一直是中国经济乃至政治建设的首要问题。这与西方经济发展相对稳定的资本主义背景完全不同。
综上可见,主流理论和模型之所以有效,正是因为它们是从一定假定条件(制度稳定,市场竞争性等)下对经济主体进行规范分析的基础上得出的。这种“假定→推断→检验”的研究范式本身并无疑问,并为西方经济发展的成功实践所背书。但在中国,由于体制改革与经济转型的作用,制度背景一直不断改变。这使得主流经济学中看似合理的假定条件都很难得到满足。因此,生搬硬套西方现成模型来分析中国经济,在方法上是错误的,在结论上很可能是误导的,我们亟需建立中国自己的经济学体系。同时,由于制度本质上是经济学分析架构更为深层次与更基础性的背景,也鉴于制度改革一直是中国经济建设探索的主旋律,因而在继承与吸收主流经济学精华的基础之上,充分考虑中国的制度变迁因素,纳入制度并拥抱制度变化,应该也必然是中国经济学构建的核心问题。
三、刻画制度演进的渐进式研究思路
下个问题自然就是:如何基于科学化的研究范式,对制度演进进行理论化的刻画?这是一个极为重要同时也极其困难的问题。就此,笔者仅结合自己的研究经验与体会,提出若干观点与研究思路,希望有所启示。
首先,制度演进理论化的最终目标应该是实现对制度演进的内生刻画,即在一个包含经济主体自我决策、交互作用与一般均衡机制的经济系统中,基于系统本身的运行效率与价值取向评估,内生地产生制度的自我修正与完善机制。如果我们能够实现这一刻画研究,将能够理解人类社会基本经济制度的演变,即从奴隶制度到封建制度,再到资本主义与社会主义制度的内在机理;也能够规范地探讨特定基本制度下具体制度规范的演进。前文已经指出,制度本身是经济活动的背景与规则,因此尝试由前景的经济活动反推出作为经济活动背景的内生制度演变,其难度可想而知。这一问题,某种程度上可以看作经济学的终极问题,其意义应相当于物理学中的大统一理论。该问题目前尚无法解答,甚至之前从未被正式提出。
制度演进的内生刻画,目前看来仍遥不可及,但这并不等同于无所作为。我们可以退而求其次,在主流经济学的架构中纳入对制度演进的外生刻画,从而考察制度演进对于经济的作用,这仍是对经济学的重要推进。就此可以有以下三个渐进的研究思路。
1.比较制度分析
考虑两种制度,其中一种制度可以视为对另一制度的替代或革新。分别在不同制度背景下刻画经济系统,基于一定的标准(如福利)来比较两个系统的经济效率,从而确定制度替代或变革的必要性。该方法是迄今为止国内外经济学者有意识或无意识采取的研究路线,本质上是制度的比较静态分析,其最为简单,也最为常见。
2.制度演进的随机过程刻画
笔者认识到,在特定的改革推进进程中,制度变量的演变运动形态与特定的随机过程表现极为相似,并首次提出了以随机过程来刻画制度变量外生演变的新思路。在系列研究中,我们针对中国“摸着石头过河”式的特定改革方式,提出了制度变量外生演进的(带纠偏)的马尔科夫过程假说,并用以探讨经济转型过程中中国经济的运行与制度改革问题。我们使用随机控制方法求解了不确定性动态下经济主体的行为方程,并探讨整体经济表现,首次正式解释了中国经济中的短视预期、短期机会主义行为、低效投资、消费强敏感性、金融市场与宏观经济强震荡等诸多特殊现象。这些研究丰富了中国经济学,但仍仅针对特定的“摸着石头过河”式的改革方式,亟待拓展到更为一般的设定。
3.可行集方法
制度决定经济主体的行为边界,在数学上可以看为对主体决策的可行集(feasible set)的限定。这一想法已经被少数学者认知,但尚未形成一个一般均衡分析架构。就此,笔者尝试在卢卡斯分析框架的基础上进行拓展。
基于对传统凯恩斯式的经济政策分析范式的批评,卢卡斯(1976)提出了以下经济分析框架:
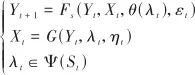
其中下标t为时间;Y是内生状态向量,X是外生强制(政策)向量,λ是经济政策参数,行为参数向量θ是λ的函数,ε和η是外生扰动;F(·)是状态演进方程,G(·)是政策决定方程,二者根据行为决策以及市场出清机制得出。该系统是对图1经济系统的显式数学表达,表明政策实施改变了经济主体的行为方程,并进而作用于整体经济运行态势。
但卢卡斯框架仍是基于不变的制度安排,考虑到制度对可行性边界的限定,可以扩展卢卡斯分析框架为:
其中S为随时间演进的制度安排,Ψ(·)为可行集。新系统表示,状态向量Y与政策向量X的可控制部分(可行集)取决于当前制度安排;制度同时影响了状态演进的具体实现,以函数表示。于是,随着时间推移与制度演进,整个经济结构或系统自然与制度演进高度关联。新架构的分析推导应需要更高级的数学分析工具,如集合论与随机动态优化的结合。
结 语
在中国特色社会主义制度的探索以及改革过程中,伴随着持续的制度变迁,这使得中国呈现出远比西方国家更为丰富与复杂的经济现象。制度是经济分析与架构的基础,改革本身也提供了观察制度与经济相互作用的绝佳舞台。对于中国经济学者而言,构建真正科学化的中国特色经济学,不仅是富国强民的责任,也是从根本上反思与推进经济学本身的良好机缘。目前看来,科学地理论化制度演进仍可谓是道阻且长,然而行则将至,须明知其不可为而为之。
载《yl9193永利集团学报(社会科学版)》2022年第3期


